Peform a sweep of the gate resistance of a power semiconductor switch
This python example proposes a sweep of the gate resistance R_g to evaluate its effect on junction temperature and switching losses.
How to Proceed
- Create a thermal model in SIMBA GUI and look for a custom variable R_g.

If it is not added in the xml file of the device, it can be manually added by navigating through:
testbench --> Thermal Data --> Device --> Add Custom Variable
as shown in figure below:

- Write a Python script to load the model and run simulations for the different values of R_g.
Rg_list = [1, 2.5, 5, 10]
for Rg in Rg_list:
mosfet.CustomVariables[0].Value = str(Rg)
job = design.TransientAnalysis.NewJob()
...
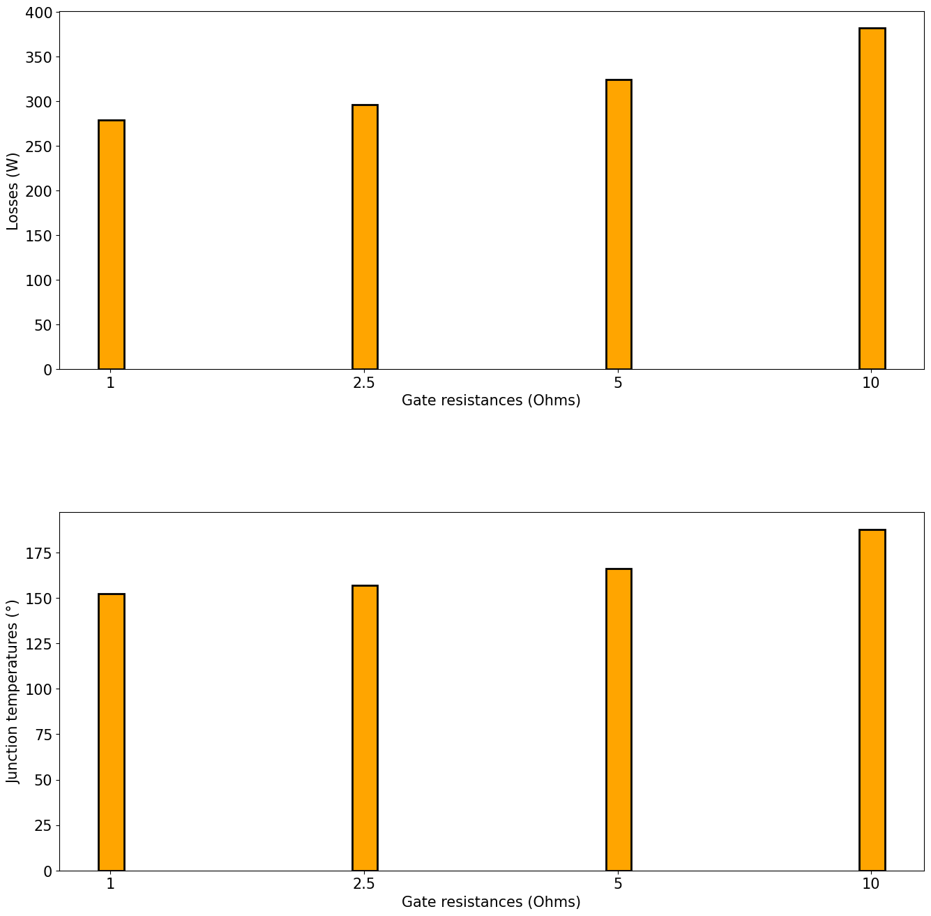
After running the script, its effect on switching losses and junction temperature can be seen in the histogram plotted.

As it can be seen, when increasing the gate resistance, switching losses also get increased along and the slight increase in the junction temperature.
This concludes the python example on ThermaldataRgsweep.